什么是等級賦分?怎么賦分?如何賦分?(各省賦分制度)
什么是等級賦分?
等級賦分?(又稱“新高考賦分制”)是一種將考生原始卷面成績按比例轉換為等級分數的制度,核心目的是?解決不同學科考試難度差異帶來的公平性問題?。
等級賦分作為一種相對性評價制度,是根據相關測量原則,將參加同一科目考試的考生原始成績按生源一定比例進行等級劃定后,再依照等比例轉換法則,將考生的原始成績轉換成等級成績,再計入高考總成績,進而最大可能地實現不同科目成績的可比性,從而保障高考的科學性與公平性。

等級賦分
1?.適用場景?:
新高考改革中,考生從政治、歷史、地理、物理、化學、生物6科中自主選擇3科(部分省份為“3+1+2”模式),其中?化學、生物、政治、地理4門選考科目?采用等級賦分制計入總分。
2?.制度價值?:
避免因學科題目難度不同導致“選科博弈”,例如物理卷面難易度波動可能影響考生總分公平性,賦分制通過排名換算弱化絕對分差異。
總體來說,等級賦分制比傳統高考計分規則更為合理和公平。
3.具體優勢:
(1)平衡學科難度差異?
當某科試題難度較大(如全省平均分僅50分),賦分制可將中上游考生成績提升至60-80分區間,避免“努力選科卻因題目難而吃虧”。?
數據對比?:2023年某省物理卷面平均分58分,賦分后平均分提升至67分;歷史卷面平均分72分,賦分后降至65分,體現難度均衡效果。?
(2)增強成績區分度?
傳統卷面分可能出現大量同分考生,賦分制通過排名劃分等級,使分數分布更合理,便于高校梯度選拔。?
實例?:某省1萬名地理考生中,前1500名(15%)即使卷面分相差20分,賦分后均落在86-100分區間,但卷面分接近的考生賦分后分差可能縮小。?
(3)引導理性選科?
考生無需因擔心“壓分”而回避高難度學科(如物理、化學),有利于國家基礎學科人才培養。
哪些科目需要賦分?
①3+3:語數英算卷面分,選的3科按等級賦分
②3+1+2:語數英算卷面分,物理或歷史算卷面分,選的2科按等級賦分。
怎么賦分?
在高考賦分制下,先是根據考生的原始分確定其在全省/市的排名,然后根據排名所占的比例,確定賦分區間,各地賦分方式基本一致,分為ABCDE,5個等級,部分地區會更細分。
以山東為例賦分:


公式為(該區間高考最高分-原始分)÷(原始分-該區間高考最低分)=(等級賦分區間最高分-x)÷(X-等級賦分區間最低分)。
若小明化學卷面分為93分,成績區間A等級(轉換分數91—100分),區間分數88—96分,代入公式即可得,小明的賦分為97分。
四川、河南、江蘇、湖北、湖南、廣東、重慶等省份賦分制度

以河北舉例:
首先要知道,基礎三科語數外,分別150分,剩下的三科,各科100分。
轉換后賦分成績滿分為100分,賦分起點為30分。
例1、某學科原始分前15%的考生最高分為100分,最低分為95分,則該學科A等級的原始分區間為【100~95】。
已知A等級賦分區間為【100~86】分(固定不變),
也就是說,原始分【100~95】的考生為A等級,賦分后最終成績為【100~86】分。
例2、某學科考試成績最后2%的考生最高分為20分,最低分為5分,則該科目E等級的原始分區間為【20~5】。
已知E等級賦分區間為【40~30】分(固定不變),
也就是說,原始分【20~5】的考生為E等級,賦分后最終成績為【40~30】分。
極端地講,假設這個區間某考生原始分為5分,賦分后也能拿到30分。
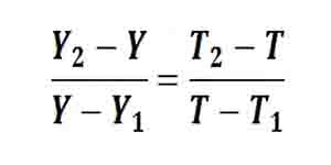
等級轉換的具體公式:

其中:
Y1、Y2分別表示原始分區間的下限和上限;
T1、T2分別表示轉換分區間的下限和上限;
Y表示原始分;
T表示轉換分。
考慮到高考分數都以整數呈現,故上述公式的計算結果需要進行“四舍五入”處理。
例1、假設小淘同學政治學科原始分為75分,再假設政治學科B等級原始分區間為【82~61】,則小淘同學政治學科為B等級;
下面進行賦分換算:B等級的賦分區間【85~71】(固定不變),那么小淘同學賦分后分數為:
82-75/75-61=85-T/T-71
解得,T≈80.33;四舍五入后小淘同學政治學科最終賦分成績為80。

例2、假設小淘同學地理學科原始分為75分,再假設地理學科B等級原始分區間為【88~75】,則小淘同學地理學科為B等級;
下面進行賦分換算:B等級的賦分區間【85~71】(固定不變),小淘同學考了B等級原始分區間的最低分,
所以小淘同學地理學科最終賦分成績為71。
上海賦分制度

浙江賦分制度

賦分制怎樣選科容易得高分?
1.選擇擅長的學科
在新高考的賦分背景下,分數仍是王道,分數越高排名越靠前,這樣賦分成績也會越高。選擇了擅長學科的話,才有利于求得最大公約數,實現1+1>2的效果,而且學習起來也會相對輕松。如果是自己薄弱的學科,不僅會花費很多時間在上面,也不容易考高分,可謂是既費時又費力。
2.選擇人數多的學科為主
一般來說,競爭人數越多的學科,學科的受歡迎程度越高,這門學科的師資配備力量也會更好,而且競爭人數越多的學科賦分也會更合理,例如一門學科有3000人參加,那么需要考進前30名才能進入A等級,有30000人參加考試,則需要考進前300名。比起選科人數很少的科目,人多的科目只要自身分數保持在較高的水平,得到較高賦分的可能性就很大,相比人數少的科目得高分的難度要小一些。
3. 以難度較低的學科為主
這種選擇更適合于成績一般的學生,因為學習成績普通的話,再去選擇難度高的學科必然學起來吃力,而且不一定能得高分。如果選擇一些難度系數較低的科目,這樣學習起來不會太吃力,分數也不會太差。















